Engineering room airflow may present a real challenge when balancing an HVAC system. Most calculations only use the heat loss or gain of a room to decide on required airflow and often don’t take into consideration required room ventilation needs. Let’s take a look at how an air change calculation may simplify this step in your air balancing.
What is an Air Change?
An air change is how many times the air enters and exits a room from the HVAC system in one hour. Or, how many times a room would fill up with the air from the supply registers in sixty minutes.
You can then compare the number of room air changes to the Required Air Changes Table below. If it’s in the range, you can proceed to design or balance the airflow and have additional assurance that you’re doing the right thing. If it’s way out of range, you’d better take another look.
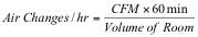
The Air Changes Formula
To calculate room air changes, measure the supply airflow into a room, multiply the CFM times 60 minutes per hour. Then divide by the volume of the room in cubic feet:
In plain English, we’re changing CFM into Cubic Feet per Hour (CFH). Then we calculate the volume of the room by multiplying the room height times the width times the length. Then we simply divide the CFH by the volume of the room.
Here’s an example of how a full formula works:
Compare 7.5 air changes per hour to the required air changes for that type of room on the Air Changes per Hour Table below. If it’s a lunch or break room that requires 7-8 air changes per hour, you’re right on target. If it’s a bar that needs 15-20 air changes per hour, it’s time to reconsider.
Room CFM Formula
Let’s look at this engineering formula differently. For example, what if the airflow is unknown and you need to calculate the required CFM for a room? Here is a four-step process on how to calculate the room CFM:
Step One – Use the above Air Changes per Hour Table to identify the required air changes needed for the use of the room. Let’s say it’s a conference room requiring 10 air changes per hour.
Step Two - Calculate the volume of the room (L’xW’xH’).
Step Three - Multiply the volume of the room by the required room air changes.
Step Four - Divide the answer by 60 minutes per hour to find the required room CFM:
Here’s an example of how to work the formula:
When designing or balancing a system requiring additional airflow for ventilation purposes, remember this room will normally demand constant fan operation when occupied. This may present a problem for other rooms on the same zone, so take that into consideration.
Many of these rooms may require a significant amount of outdoor air. The BTU content of this air has to be included in the heat gain or heat loss of the building when determining the size of the heating and cooling equipment.
Practice these calculations several times in the shop or office. Then do the calculations in the field several times over the next week to check airflow in rooms with uncommon ventilation requirements. Study the Air Changes per Hour Table to become familiar with the rooms that need more ventilation than the heating or cooling load requires.
Rob “Doc” Falke serves the industry as president of National Comfort Institute, an HVAC-based training company and membership organization. If you're an HVAC contractor or technician interested in a free Air Changes Calculation Procedure, contact Doc at [email protected] or call him at 800-633-7058. Go to NCI’s website at nationalcomfortinstitute.com for free information, articles, and downloads.
About the Author
Rob 'Doc' Falke
President
Rob “Doc” Falke serves the industry as president of National Comfort Institute an HVAC-based training company and membership organization. If you're an HVAC contractor or technician interested in a building pressure measurement procedure, contact Doc at [email protected] or call him at 800-633-7058. Go to NCI’s website at NationalComfortInstitute.com for free information, articles and downloads.







